Controladores industriales para montaje en panel o tablero
Contadores programables
Contadores controlados por Microprocesador.
Rango: de 0 a 9999.
Se podrá configurar para el uso más adecuado.
Contador configurable.



Temporizadores o timer
Temporizador configurable, controlado por microprocesador.
Se puede configurar para el uso más adecuado.
Puede funcionar como temporizador o como ciclador, lo cual podrá ser seleccionado mediante el teclado y guiado por nuestras instrucciones.
Asi mismo, podrán configurar distintas opciones de funcionamiento más puntuales para la aplicación deseada.






Central de temperatura CH-8
Ésta central dispone de 8 canales de medición con sensor Pt-100 con un rango de -50+200 °C, y tres puntos de alarma.
Posee también la opcción de:
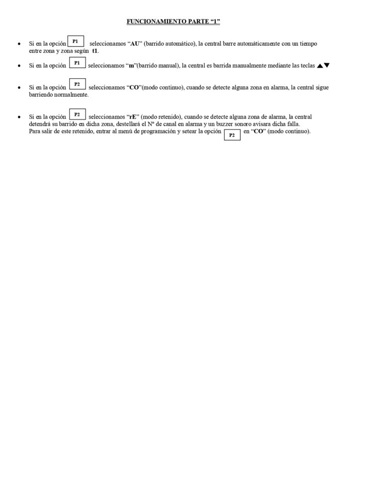
P1 (Barrido): Automático o manual.
T1 (Tiempo de barrido automático): de 0 a 17 seg.
P2 (Detección de alarma): Continuo o retenido.
NC (Número de canales): Podrá seleccionar la cantidad de canales a utilizar.















